| 일 | 월 | 화 | 수 | 목 | 금 | 토 |
|---|---|---|---|---|---|---|
| 1 | 2 | 3 | 4 | |||
| 5 | 6 | 7 | 8 | 9 | 10 | 11 |
| 12 | 13 | 14 | 15 | 16 | 17 | 18 |
| 19 | 20 | 21 | 22 | 23 | 24 | 25 |
| 26 | 27 | 28 | 29 | 30 |
Tags
- 행렬
- 도형과 무한등비급수
- 심화미적
- 이정근
- 정적분
- 수열의 극한
- 수악중독
- 로그함수의 그래프
- 함수의 그래프와 미분
- 수열
- 접선의 방정식
- 적분
- 함수의 극한
- 수학질문답변
- 수만휘 교과서
- 적분과 통계
- 미적분과 통계기본
- 여러 가지 수열
- 함수의 연속
- 수학2
- 중복조합
- 수학질문
- 이차곡선
- 수능저격
- 확률
- 미분
- 기하와 벡터
- 경우의 수
- 행렬과 그래프
- 수학1
Archives
- Today
- Total
수악중독
코사인법칙_난이도 하 (2026년 3월 고3 18번) 본문
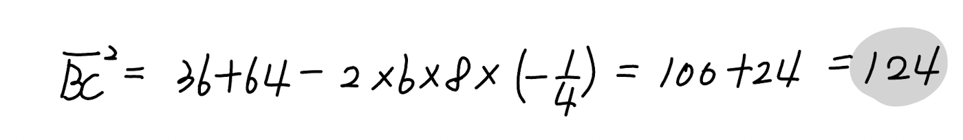
삼각형 $\mathrm{ABC}$ 에서 $\overline{\mathrm{AB}}=6, \overline{\mathrm{AC}}=8$ 이고 $\cos A = -\dfrac{1}{4}$ 일 때, $\overline{\mathrm{BC}}^{2}$ 의 값을 구하시오.
더보기

정답 $124$

Comments