| 일 | 월 | 화 | 수 | 목 | 금 | 토 |
|---|---|---|---|---|---|---|
| 1 | 2 | 3 | ||||
| 4 | 5 | 6 | 7 | 8 | 9 | 10 |
| 11 | 12 | 13 | 14 | 15 | 16 | 17 |
| 18 | 19 | 20 | 21 | 22 | 23 | 24 |
| 25 | 26 | 27 | 28 | 29 | 30 | 31 |
Tags
- 이정근
- 적분과 통계
- 접선의 방정식
- 수능저격
- 심화미적
- 이차곡선
- 수열의 극한
- 행렬과 그래프
- 기하와 벡터
- 수학질문답변
- 함수의 연속
- 함수의 극한
- 정적분
- 중복조합
- 적분
- 확률
- 미적분과 통계기본
- 미분
- 로그함수의 그래프
- 수악중독
- 함수의 그래프와 미분
- 수학1
- 수학2
- 여러 가지 수열
- 수학질문
- 행렬
- 수열
- 도형과 무한등비급수
- 수만휘 교과서
- 경우의 수
Archives
- Today
- Total
수악중독
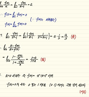
미적분과 통계기본_함수의 연속_난이도 중 본문
함수 \(f\left( x \right) = \left\{ {\begin{array}{cl}{\dfrac{2}{{x - 2}}}&{\left( {x \ne 0} \right)}\\1&{\left( {x = 2} \right)}\end{array}} \right.\) 와 이차함수 \(g(x)\) 는 다음 두 조건을 만족시킨다.
(가) \(g(0)=8\)
(나) 함수 \(f(x)g(x)\) 는 모든 실수에서 연속이다.
이때, \(g(6)\) 의 값을 구하시오.
Comments